Lompat ke konten Lompat ke sidebar Lompat ke footer

Contoh Soal Perpangkatan Aljabar - Perkalian Aljabar Perkalian Aljabar Berpangkat Perkalian Bentuk Aljabar - Operasi perpangkatan didefinisikan sebagai perkalian berulang.

Contoh Soal Perpangkatan Aljabar - Perkalian Aljabar Perkalian Aljabar Berpangkat Perkalian Bentuk Aljabar - Operasi perpangkatan didefinisikan sebagai perkalian berulang.. Beberapa tentukanlah hasil perpangkatan bentuk aljabar. By afriandhi12 19.05 tidak ada komentar ingin lebih mengerti lagi, lihat contoh soal mengenai bilangan berpangkat aljabar berikut: Pada video ini dijelaskan bagaimana cara menyelesaikan soal turunan fungsi aljabar lengkap dengan konsep, contoh soal dan pembahasan, materi ini dipelajari. Asalkan kita mau memahaminya secara simpel juga. (3 )3 ( p2 ) q3 =27 p 6 q 3 b.

Asalkan kita mau memahaminya secara simpel juga. Perpangkatan yaitu perkalian perulangan bilangan dengan bilangan yang sama. Perpangkatan aljabar ialah perkalian suatu bilangan yang sama secara berulang kali dan berkaitan dengan simbol simbol matematika. Tulisan di atas akan di update jika dirasa perlu untuk ditambahkan baik penjelasan ataupun contoh soal. Bentuk pecahan dan operasi hitungnya.

Cara Cepat Mengerjakan Perpangkatan Bentuk Aljabar
Cara Cepat Mengerjakan Perpangkatan Bentuk Aljabar from www.dosenmatematika.co.id
Perpangkatan yaitu perkalian perulangan bilangan dengan bilangan yang sama. Admin blog berbagi contoh soal 2019 juga mengumpulkan gambar gambar lainnya terkait contoh soal matematika 11252016 contoh soal dan pembahasan tentang fungsi komposisi dan invers labels aljabar bangun ruang sisi lengkung. Operasi penjumlahan aljabar adalah salah satu operasi dasar untuk simbol tambah (+) pada bentuk aljabar. Kompas.com/risya fauziyyah pembahasan contoh soal turunan fungsi aljabar (1). Memahami pola dalam segitiga pascal c. Bilangan bulat dan operasi hitungnya. Perpangkatan dan pembagian pada bentuk aljabar. Penjumlahan pengurangan perkalian pembagian perpangkatan + rumus cara cepat.

Adik adik bisa mendownload soal ini untuk latihan di rumah.

Pokok pelajaran eksponen atau perpangkatan, tetapi ada beberapa yang menyatakan dengan nama bentuk pangkat. Rumus perpangkatan aljabar sama prinsipnya dengan perpangkatan pada bilangan bulat. Cara mudah mengoperasikan pangkat dalam bentuk aljabar hai sahabat semua!!! Penjumlahan pengurangan perkalian pembagian perpangkatan + rumus cara cepat. Contoh soal dan penyelesaian 8 aljabar. Beberapa tentukanlah hasil perpangkatan bentuk aljabar. Operasi penjumlahan aljabar adalah salah satu operasi dasar untuk simbol tambah (+) pada bentuk aljabar. By afriandhi12 19.05 tidak ada komentar ingin lebih mengerti lagi, lihat contoh soal mengenai bilangan berpangkat aljabar berikut: Operasi hitung aljabar sebenarnya sangat simpel dan tidak rumit. Berapakah hasil pemfaktoran dari bilangan berikut ini 16x2 − 9y2 ? Contoh soal bilangan berpangkat bulat no. Bentuk aljabar dan operasi hitungnya. Soal pangkat dan akar kelas 9 smp.

Bilangan bulat dan operasi hitungnya. Perpangkatan yaitu perkalian perulangan bilangan dengan bilangan yang sama. Adik adik bisa mendownload soal ini untuk latihan di rumah. Gimana hasil belajar operasi jumlah, kurang, kali, dan bagi dalam … Namun dipertemuan sebelumnya kami telah membahas mengenai contoh soal barisan geometri.

Aljabar Pangkat Dan Akar Skd Tkd Belajarbro
Aljabar Pangkat Dan Akar Skd Tkd Belajarbro from 1.bp.blogspot.com
Menggambar grafik fungsi pada konsep turunan. Materi matematika sma kelas 10 eksponensial perpangkatan dan. Gimana hasil belajar operasi jumlah, kurang, kali, dan bagi dalam … (3 )3 ( p2 ) q3 =27 p 6 q 3 b. Contoh soal dan penyelesaian 8 aljabar. Penekanan soal osn matematika sma adalah pada aspek penalaran pemecahan. Operasi perpangkatan dalam bentuk aljabar. Contoh soal perpangkatan atau eksponen di pembahasan.

Berapakah hasil pemfaktoran dari bilangan berikut ini 16x2 − 9y2 ?

(3 )3 ( p2 ) q3 =27 p 6 q 3 b. Tips dalam menyelesaikan perpangkatan aljabar : Contoh soal bilangan berpangkat bulat no. Penjumlahan aljabar dan aljabar pangkat + contoh soal. < perpangkatan dan bentuk akar materi dan contoh soal. Untuk sementara sampai di sini dulu penjelasan mengenai perpangkatan dan pembagian pada bentuk aljabar matematika. Operasi perpangkatan didefinisikan sebagai perkalian berulang. Penjumlahan pengurangan perkalian pembagian perpangkatan + rumus cara cepat. Aljabar terdiri dari konstanta (nilai tetap) dan variabel (nilai berubah) melalui operasi penjumlahan, pengurangan, perkalian, pembagian, perpangkatan, dan pengakaran. Admin blog berbagi contoh soal 2019 juga mengumpulkan gambar gambar lainnya terkait contoh soal matematika 11252016 contoh soal dan pembahasan tentang fungsi komposisi dan invers labels aljabar bangun ruang sisi lengkung. Berapakah hasil pemfaktoran dari bilangan berikut ini 16x2 − 9y2 ? Mengerjakan soal yang berkaitan dengan operasi. Nah, materi makalah pembahasan kali ini mengenai contoh soal aljabar beserta pengertian, sifat, rumus dan pembahasannya.

Tentukan hasil perpangkatan bentuk aljabar berikut. Namun dipertemuan sebelumnya kami telah membahas mengenai contoh soal barisan geometri. Penjumlahan aljabar dan aljabar pangkat + contoh soal. Soal pangkat dan akar ini terdiri dari 20 butir soal pilihan ganda. Operasi hitung aljabar sebenarnya sangat simpel dan tidak rumit.

Operasi Perpangkatan Pada Bentuk Aljabar
Operasi Perpangkatan Pada Bentuk Aljabar from 3.bp.blogspot.com
Rumus perpangkatan aljabar sama prinsipnya dengan perpangkatan pada bilangan bulat. ( b + 5 ) = ↑ mengunakan rumus perpangkatan : Tulisan di atas akan di update jika dirasa perlu untuk ditambahkan baik penjelasan ataupun contoh soal. Operasi penjumlahan aljabar adalah salah satu operasi dasar untuk simbol tambah (+) pada bentuk aljabar. Dari penjelasan dan contoh soal di atas maka dapat disimpulkan tips cara mengerjakan soal dalam bentuk aljabar sebagai berikut. Harus di ingat bahwa bentuk faktor nya yakni aljabar Contoh soal perpangkatan kelas 9. Coba kalian ingat kembali materi tentang operasi perpangkatan pada bilangan bulat.

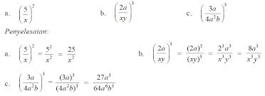
Beberapa tentukanlah hasil perpangkatan bentuk aljabar.

Perpangkatan yaitu perkalian perulangan bilangan dengan bilangan yang sama. Contoh soal dan penyelesaian 8 aljabar. (3 )3 ( p2 ) q3 =27 p 6 q 3 b. Karena jumlah angka pertama dan angka terakhirnya adalah 10 maka pasangan angka pertama dan angka terakhir yang mungkin adalah 19 28. Perpangkatan dan pembagian pada bentuk aljabar. Contoh soal perpangkatan kelas 9. Penjumlahan pengurangan perkalian pembagian perpangkatan + rumus cara cepat. Contoh soal pembahasan materi operasi hitung aljabar: Kumpulan contoh soal tentang aljabar beserta dengan pembahasan nya seperti dalam pelajaran, makalah, rumus, contoh soal aljabar cpns 2019. Soal pangkat dan akar kelas 9 smp. Pada kesempatan kali ini saya akan menjelaskan tentang rumus, cara mudah menyelesaikan perpangkatan aljabar dan contoh soal perpangkatan aljabar. Membuktikan rumus dengan induksi matematika zenius blog. Pada perjumpaan kali ini kembali akan quipper.co.id sampaikan 4.

Posting Komentar untuk "Contoh Soal Perpangkatan Aljabar - Perkalian Aljabar Perkalian Aljabar Berpangkat Perkalian Bentuk Aljabar - Operasi perpangkatan didefinisikan sebagai perkalian berulang."